For example, cos1 (cos π/4) = cos1 (1/√2) = π/4 If we need to find the arccosine of the cos of an angle which does not lie between 0 and π, the correct angle can be found by either adding or subtracting 2π radians until we get an angle in the range of 0 to π, which is the range of the arccosine function Q If k ≤ sin1 x cos1 x tan1 x ≤ K , then (A) k = 0, K = π (B) k = 0, K = π/2 k = π/2, K = π (D) None of these Sol We have , sin1 x cos1 x tan1 x = π/2 tan1 x Since domain of the function x ∈ –1, 1π/4 ≤ tan1 x ≤ π/4 Hence k =The exact value of cos(π 4) cos ( π 4) is √2 2 2 2 √2 2 2 2 The result can be shown in multiple forms Exact Form √2 2 2 2 Decimal Form
Example 1 Evaluate Inverse Trigonometric Functions Evaluate The Expression In Both Radians And Degrees A Cos 1 3 2 Solution A When 0 8 P Or 0 180 Ppt Download
Cos(cos^-1(-root 3/2)+pi/4)
Cos(cos^-1(-root 3/2)+pi/4)- Let the slope of the curve y = cos1 (sin x) be tan θ, then the value of θ in the interval (0, π) is This question was previously asked in NDA (Held On 91 ( 1/√2) Solution Inverse trigonometric functions are the inverse ratio of the basic trigonometric ratios Here the basic trigonometric function of Sin θ = y, can be changed to θ = sin1 y Let, cos1 ( 1/√2) = y Hence,



Example 1 Evaluate Inverse Trigonometric Functions Evaluate The Expression In Both Radians And Degrees A Cos 1 3 2 Solution A When 0 8 P Or 0 180 Ppt Download
Explanation As you can see in the table above, cos45∘ or cosπ 4 radians is the same thing as √2 2 An alternative way is looking at the unit circle We know that the cosine of an angle is the x value of a coordinate At π 4, we can see that the x value is √2 2 Therefore, cos( π 4) = √2 2 Hope this helps!Click here👆to get an answer to your question ️ Evaluate the following cos^1 (cos 4) Solve Study Textbooks Join / Login >> Class 12 >> Maths >> Inverse Trigonometric Functions >> Inverse Trigonometric Functions >> Evaluate the following cos^1 (cos 4) QuestionIt is unclear or not useful Bookmark this question Show activity on this post Evaluate ℜ cos ( 1 i) The trigonometric function in the expression is throwing me in a loop and need some guidance on how to evaluate this
Question The function x = (52 m) cos(2πrad/s)t π/4 rad gives the simple harmonic motion of a body This problem has been solved!SOLUTION cos−1( −1 √2)= π−cos−1( 1 √2)= π− π 4= 3π 4 Related Questions When a sphere of moment of inertia ‘I’ moves down an in In the given series LCR circuit the voltmeter and ammet If AB= and A= 3212 then the value of the determ IfA=⎡⎢⎣⎤⎥⎦ and adjA=⎡⎢⎣12−1xyz−1−22Login Create Account Share 0 cos1 x cos1 y = π 4 ⇒ π 2sin1 x π 2sin1 y = π 4 ∵ cos1 x =
Prove that tan(π/4 1/2cos^1(a/b)) tan(π/4 1/2cos^1(a/b)) = 2b/a asked in Mathematics by Radhika01 ( 632k points) inverse trigonometric functionsThe function x = (52 m) cos(2πrad/s)t π/4 rad gives the simple harmonic motion of a body;Tan π 4 12 cos − 1 (a b) tan π 4 − 1 2 cos − 1 (a b) = 2 cos cos − 1 a b = 2 b a This is helpful 0 Expert Community at Your Service



4 08 Inverse Trigonometric Functions



How Do You Find The Exact Value Of Arccos 1 Sqrt 2 Socratic
\bold{\mathrm{Basic}} \bold{\alpha\beta\gamma} \bold{\mathrm{AB\Gamma}} \bold{\sin\cos} \bold{\ge\div\rightarrow} \bold{\overline{x}\space\mathbb{C}\forall} Evaluate the integral of cos x dx limits from π/4 to π/2 Pinoybixorg is an engineering education website maintained and designed toward helping engineering students achieved their ultimate goal to become a fullpledged engineers very soon asked in Class XII Maths by nikita74 Expert (112k points) Find the simplified form of cos 1 3/5 cos x 4/5 sin x, x ∈ 3π/4,π/4 inverse trigonometric functions



Express Sin 1 Sin X Cos X 2 In Simplest Form Teachoo



Prove That Tan P 4 1 2cos 1a B Tan P 4 1 2cos 1a B 2b A Sarthaks Econnect Largest Online Education Community
Click here 👆 to get an answer to your question ️ tan^1 1/2 1/2 cos ^1 4/5 = π/41 < X < 1 Prove that Tan − 1 ( √ 1 X 2The function x = (25 m) cos(4π rad/s)t π/4 rad gives the simple harmonic motion of a body Find the following values at t = 90 s (a) the displacement 177 、m (b) the velocity (Include the sign of the value in your answer) Enter a number



Example 1 Evaluate Inverse Trigonometric Functions Evaluate The Expression In Both Radians And Degrees A Cos 1 3 2 Solution A When 0 8 P Or 0 180 Ppt Download



Cos 3pi 4 X Cos 3pi 4 X Sqrt 2 Sinx Youtube
Related Links tan1 (√3) cot1 (√3) is equal to tan1 3x x 3 / 1 3x 2 tan1 2x / 1 x 2 = tan1 x (2 / x) tan1 (4 / x) tan1 x (2 / x) = 0 has real roots tan1 5 tan1 3 cot1 (4 / 7) = Tangent and normal are drawn at P(16, 16) on the parabola y 2 = 16x, which intersect the axis of the parabola at A and B, respectively If C is the centre of theIf 3 sin 1 x cos 1 x = π, then find the value of x?It is useful and clear 1 This question does not show any research effort;



Example 1 Evaluate Inverse Trigonometric Functions Evaluate The Expression In Both Radians And Degrees A Cos 1 3 2 Solution A When 0 8 P Or 0 180 Ppt Download



Prove That Cos 1 X 2 Sin 1 Sqrt 1 X 2 2 Cos 1 Sqrt 1 X 2 Youtube
(RΨ) = cos Ψ sin Ψ= 2 1/2 cos(Ψ π/4) 2 Identify Sample Space 3 Probability Law over Sample Space Invoke isotropy implying uniformity of angle 0 π/2 ψ⇒ cos (π 4 π ) = cos θ since π θ is in third quadrant, cosine of the angle θ is negative Hence cos ( π 4 π ) = − cos 4 π = cos θThe arccosine function is the inverse function of cos(x) arccos(x) = cos1 (x) For example, If the cosine of 60° is 05 cos(60°) = 05 Then the arccos of 05 is 60° arccos(05) = cos1 (05) = 60° Arccos table x arccos(x) degrees radians1 180° π 150° 5π/ 135° 3π/405 1° 2π/3 0 90° π/2 05 60



Example 1 Evaluate Inverse Trigonometric Functions Evaluate The Expression In Both Radians And Degrees A Cos 1 3 2 Solution A When 0 8 P Or 0 180 Ppt Download



How Do You Find The Value Of Cos Pi 6 Socratic
Please scroll down to see the correct answer and solution guide If cos1xcos1y=π4, find the value of sin1xsin1y Maths NCERT Solutions;In the sum of angle theorems, let a=b so that \cos(2a)=\cos^2(a)\sin^2(a) By the last identity, notice that \cos^2(a)\sin^2(a)=2\cos^2(a)1 \cos^2(a)\sin^2(a)=12\sin^2(a) Now let a=\pi/4



Ex 2 1 9 Find Principal Value Of Cos 1 1 Root 2 Ex 2 1



Cos Pi 4 X Cos Pi 4 X 2 Cosx
Here the basic trigonometric function of Sin θ = y, can be changed to θ = sin 1 y Let, tan 1 (1) = x Hence, tan x = 1 = tan (π / 4) Therefore, tan 1 (1) = (π / 4) Now, let cos 1 ( 1/2) = y Hence,See the answer See the answer See the answer done loading y = cos1 (1/√2) So we can say that, cos(y) = (1/√2) We know that the range of the principal value branch of cos1 (x) is (0, π) and cos(π/4) = 1/√2 So, the principal value of cos1 (1/√2) = π/4 Problem 2 Find the principal value of the given equation y = cos1 (1) Solution We are given that y = cos1 (1) So we can say that



Ex 2 1 14 Mcq Find Value Of Tan 1 Root 3 Sec 1 2 Video



The Value Of Cos 1 Cos 5pi 3 Sin 1 Sin 5pi 3 Is Youtube
Cos 2x A)6π B) π 2 C) 1 3 D)2 Answer C 34)Period of y = cos 5x A)5 B)2π C)1 D) 2π 5 Answer D 35)Period of y = 5 cos 1 4 x A) π 4 B) 5π 4 C)5 D)8π Answer D 36)Period of y = 3 cos x A) π 3 B)2π C)3 D)π Answer B 37)Period of y = 7 8 cos 4π 3 x A) 8π 3 B) 4 7 C) 3 2 D) 7π 4 Answer C 38)Amplitude of y = 5 4 sin 4π 3 x A) 5 4Tan((π/4)(1/2) cos1x) tan ((π/4)(1/2) cos1x),x ≠ 0 is equal to (A) x (B) 2x (2/x) (D) none of these Check Answer and Solution for aboveCos − 1 √ 2 2 c cos π arccos ¿ b − 1 2 (¿) cos − 1 ¿ cos ¿ d arccos 5 Find the exact value of each expression) π a arctan (tan 4 π 3) b tan − 1 4 5 tan ¿) c tan (tan − 1 7 6 tan − 1 1 2) 6 Find the exact of the following, if the exist a sec − 1 √ 2 c cot − 1 √ 3 3 e cos (arc csc − 1 2) b csc − 1



3



21 Differentiation And Integration Of Trigonometry Function 9709
This is a (AIRTHMETIC PROGRESSION) series and have a common difference = 1 so, We got 90° also inthe series and by the (TRIGONOMETRIC RULES) COS 90° = 0 so, Whatever comes into multiplication multiply with 0 to give ANSWER = 0Cos1 12 2sin112 3cos1 12 4tan1 1= π cos1 12 2π6 3π cos112 4tan11= π π3 π3 3π π4 4 π4= π3 3 3π4 π= 43π12 Previous Year Papers Download Solved Question Papers Free for Offline Practice and view Solutions Online 3 π 4 A π 2 ∵ sin1 x sin VarunRawat, Meritnation Expert added an answer, on 21/7/16 VarunRawat answered this We know that principal value branch of cos 1 is 0, π So, cos 1 cos 5 π 4 ≠ 5 π 4 Now, cos 1 cos 5 π 4 = cos 1 cos π π 4 ⇒ cos 1 cos 5 π 4 = cos 1 cos π 4 = cos 1 cos π π 4 = cos 1 cos 3 π 4 = 3 π 4 ∈ 0, π So, cos 1



1



Find The Principal Value Of Cos 1 Cos7pi 6
Evaluate the Following `Cos^1{Cos (5pi)/4}` Department of PreUniversity Education, Karnataka PUC Karnataka Science Class 12 Textbook Solutions MCQ Online Tests 17 Important Solutions 984 Question Bank Solutions Concept Notes & Videos 476 Syllabus AdvertisementThis question shows research effort;To create your new password, just click the link in the email we sent you



2sin 2 3pi 4 2cos 2 Pi 4 2sec 2 Pi 3 10 Youtube



Prove That 1 Cot 2 P 6 Cosec 5p 6 3 Tan 2p 6 62 2 Sin 2 3p 4 2 Cos 2 P 4 3 Sec 2 P 6 10 Brainly In
Put (1 / 2) cos1 x = ɑ tan (π / 4) ɑ tan (π / 4) – ɑ = 1 1 tan ɑ / 1 – tan ɑ 1 – tan ɑ / 1 tan ɑ = 1 2 (1 tan 2 ɑ) = 1 – tan 2 ɑ 2 = 1 – tan 2 ɑ / 1 tan 2 ɑ = cos 2ɑ 2 = cos 2ɑ which doesnot give any value of ɑ 2 = x Since cos1 x = 2ɑ is not defined for x = 2 Given equation has Example 45 (Method 1) Differentiate the following 𝑤𝑟𝑡 𝑥 (i) cos^(−1) (sin𝑥) Let 𝑓(𝑥) = cos^(−1) (sin𝑥) 𝑓(𝑥) = cos^(−1 Find the simplified form of cos^1 3/5 cos x 4/5 sin x, x ∈ 3π/4, π/4 asked in Trigonometry by Chandan01 ( 513k points) inverse trigonometric functions



Prove That 2 Tan 1 1 5 Cos 1 7 5 2 2tan 1 1 8 P 4 Sarthaks Econnect Largest Online Education Community



Arccos X Inverse Cosine Function
Answer (1 of 3) To prove cos (3π/4x)–cos (3 π/4x) =–√2sinx By taking LHS –{cos(3π/4 x)cos(3π/4 x)} =–2sin(3π/4)sinx =–2sin(π/2 π/4If sin1 x sin1 y = π 2, then cos1 x cos1 y is equal to π 2 π 4 u cos 60 o = v cos 30 o 105 Views Answer 3 If f R S, defined byCos xy 2 cosx cosy= 2cos xy 2 cos x y 2 cosx cosy= 2sin xy 2 sin x y 2 The Law of Sines sinA a = sinB b = sinC c Suppose you are given two sides, a;band the angle Aopposite the side A The height of the triangle is h= bsinA Then 1If a



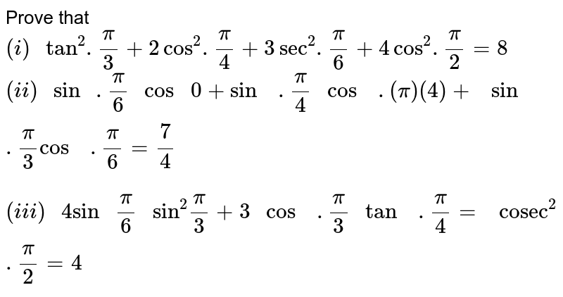
Prove That I Tan 2 Pi 3 2cos 2 Pi 4 3 Sec 2 Pi 6 4 Cos 2 Pi 2 8 Ii Sin Pi 6 Cos 0 Sin Pi 4 Cos Pi 4 Sin Pi 3



How To Prove That Tan Pi 4 1 2 Arccos A B Tan Pi 4 1 2 Arccos A B 2b A Mathjax Equation In The Details Quora
Compute answers using Wolfram's breakthrough technology & knowledgebase, relied on by millions of students & professionals For math, science, nutrition, historyT=cos1(is/13π/4) 2πf any help would be greatly appreciated The formatting is a is = 13 cos (2πft − π/4) f=1hz, point when wave form has a magnitude 10A if a presume is=10 I get t=cos1(10/13 pi/4)/ 2pi?WBJEE 09 tan (π/4)(1/2) cos1((a/b)) tan (π/4)(1/2) cos1((a/b)) is equal to (A) (2a/b) (B) (2b/a) (a/b) (D) (b/a) Check Answer and S



The Value Of Cos Cos 1 3 2 P 6 Is Brainly In



Ex 3 3 6 Prove That Cos Pi 4 X Cos Pi 4 Y Chapter 3
The exact value of sin ( π 4) sin ( π 4) is √ 2 2 2 2 The exact value of cos ( π 4) cos ( π 4) is √ 2 2 2 2 Simplify terms Tap for more steps Combine the numerators over the common denominator Add √ 2 2 and √ 2 2 Cancel the common factor of 2 2Answer (1 of 3) y = cos^2 (π/4−4x) We can write y = u² where u = cos v where v = (π/4−4x) dy/dx = (dy/du)(du/dv)(dv/dx) by chain rule => dy/dx = (2u)( sin vProve that Tan − 1 ( √ 1 X 2 √ 1 − X 2 √ 1 X 2 − √ 1 − X 2 ) = π 4 1 2 Cos − 1 X 2 ;



Maths Annexes



Prove This Cos Inverse 3 5 Cos Inverse 4 5 P 2 Brainly In
Transcript Misc 5 Prove cos1 4/5 cos1 12/13 = cos1 33/65 Let a = cos1 4/5 and b = cos1 12/13 Finding sin a, cos a Let a = cos1 4/5 cos a = 4/5 We know that sin a = √(1 −cos^2𝑎 ) =√(1−(4/5)^2 ) " =" √(9/25) "=" 3/5 We use cos (a b) formula Finding sin b, cos b Let b = cos1 12/13 cos b = 12/13 We know that sin b = √(1 −𝑐𝑜𝑠2 𝑏) = √(1 −(12/13)^2What is the value of Cos1°×cos2°×cos3°×cos4°cos180°? cos^1 (cos(pi/4)) =pi/4 pi=180^0 pi/4= 180/4=45^0 cos^1 (cos(pi/4)) = cos^1 (cos(45)) = cos^1 (cos(45)) since cos(theta)= cos theta Let cos^1 (cos 45



What Is The Value Of Sin 3 Pi 2 Quora



Math 2260 Exam 2 Practice Problem Solutions 1 Evaluate Z Tan
Let cos − 1 a b = θ, then cos θ = a b and 1 2 cos − 1 a b = θ 2 = tan π 4 θ 2 tan π 4 − θ 2 = tan



Solved Example Problems On Inverse Trigonometric Functions With Answers Solution



Solved Integrate Sqrt 1 Tan 2 X Dx Between Pi 4 To Chegg Com



Square Root Of 2 Wikipedia



Prove That Cos 2 Pi 12 Cos 2 Pi 4 Cos 2 5pi 12 3 2 Mathematics Topperlearning Com Imee8mvv



Tanx 4 3 X In Quadrant Ii Find The Value Of Sinx 2 Cosx 2 Tanx 2



Ex 2 1 12 Find Value Of Cos 1 1 2 2 Sin 1 1 2 Ex 2 1



Solved Sin 1 Square Root 3 2 1 31 Cos 1 4 1 002 Chegg Com



1



How Do You Find The Value Of Cos Pi 4 Socratic



Example 1 Evaluate Inverse Trigonometric Functions Evaluate The Expression In Both Radians And Degrees A Cos 1 3 2 Solution A When 0 8 P Or 0 180 Ppt Download



Calculate Arctan 1 Arccos 1 2 Arcsin 1 2



Calculus Evaluating Frac Dg D8 At R 8 2 Sqrt 2 Frac P 4 Where G X Y Frac1 X Y 2 Using Chain Rule Mathematics Stack Exchange



How Do You Find All The Solutions In The Interval 0 2pi 2 Cos 2 2x 1 0 Socratic



Sum And Difference Identities Precalculus Ii



If Cos 1 X Cos 1 Y P 4 Find The Value Of Sin 1 X Sin 1 Y Sarthaks Econnect Largest Online Education Community



Prove That Tan Pi 4 1 2cos 1 A B Tan Pi 4 1 2cos 1 A B B A Cos 1 Cosx Cosy 1 Co Youtube



Biomath Trigonometric Functions



If X Lies In The First Quadrant And Cos X 817 Then Prove That Cos Pi6 X Cos Pi4 X Cos 2pi3 X 3 12 1 2 2317



Prove That I Tan 2 Pi 3 2cos 2 Pi 4 3 Sec 2 Pi 6 4 Cos 2 Pi 2 8 Ii Sin Pi 6 Cos 0 Sin Pi 4 Cos Pi 4 Sin Pi 3



Inverse Cosine Formula Graph Examples Cos Inverse X



Find The Simplified Form Of Cos 1 3 5 Cos X 4 5 Sin X X 3p 4 P 4 Sarthaks Econnect Largest Online Education Community



Find The Value Of Socratic



Find The Values Of Tan 1 1 Cos 1 1 2 Sin 1 1 2 Sarthaks Econnect Largest Online Education Community



Um Math Prep S14 2 Function Values



Trigonometric Functions



Prove Cos 1 X Cos 1 X 2 Root 3 3x 2 2 Pi 3 Teachoo



If Cos 1 2 3x Cos 1 3 4x P 2 X 3 4 Then X Is Equal To Sarthaks Econnect Largest Online Education Community



Cos 2pi 3 Cos Pi 4 Sin 2pi 3 Sin Pi 4



Ex 3 3 6 Prove That Cos Pi 4 X Cos Pi 4 Y Chapter 3



Cos 1 X Sin 1 X 2 Pi 6 Youtube



The Principal Value Of Cos 1 3 2 Is



Principal Value Of Tan 1 1 Cos 1 1 2 Sin 1 1 2 Is Equal To A 2p 3 B 3p 4 C P 2 D 6p Sarthaks Econnect Largest Online Education Community



Ex 2 1 5 Find Principal Value Of Cos 1 1 2 Inverse



The Value Of Sin 1 3 2 Cos 1 Cos 7pi 6 Is A 5pi 6 B Pi 2 C 3pi 2 D None Of These



Unit Circle Sine And Cosine Functions Precalculus Ii



Ncert Exemplar Solutions For Class 11 Maths Chapter 3 Trigonometric Functions Get Free Pdf



What Is The Step By Step Process To Solving Cos Inverse Cos 10 Quora



Evaluate I Sin 1 2 Cos 1 4 5 Ii Sin 2 Tan 1 2 3 Cos Tan 1 3 Sarthaks Econnect Largest Online Education Community



Find The Value Of Cos 1 Cos 4p 3 Sarthaks Econnect Largest Online Education Community



Solved Find All Solutions Of The Equation In The Interval Chegg Com



Solved Cos 1 Left Frac Sqrt 3 2 Right A Frac 7 Pi 6 B Frac Pi 3 C Frac Pi 6 D Frac 2 Pi 3 E Frac 5 Pi 6



Solved Find Csc Cos 1 3 5 2 Pi Only Basic Chegg Com



Example 1 Evaluate Inverse Trigonometric Functions Evaluate The Expression In Both Radians And Degrees A Cos 1 3 2 Solution A When 0 8 P Or 0 180 Ppt Download



4 Tan 1 1 3 Cos 1 2 Sqrt 5 Pi



4 Tan 1 1 3 Cos 1 2 Sqrt 5 Pi



Prove That I Cos Pi 3 X 1 2 Cos X Sqrt 3 Sin X Ii Sin Youtube



Trigonometric Table Toppers Bulletin



Rd Sharma Solutions For Class 11 Maths Updated 21 22 Chapter 11 Trigonometric Equations Download Free Pdf



Cos 3x P Cos 1 3 P 0 X 2p Mas Dayat



Example 1 Evaluate Inverse Trigonometric Functions Evaluate The Expression In Both Radians And Degrees A Cos 1 3 2 Solution A When 0 8 P Or 0 180 Ppt Download



Inverse Cos Sqrt 3 2 Youtube



Trigonometry Easy Way Of Memorizing Values Of Sine Cosine And Tangent Mathematics Stack Exchange



Biomath Trigonometric Functions



Calculus Proving Sum N 1 Infty Frac Cos N N 4 Frac Pi 4 90 Frac Pi 2 12 Frac Pi 12 Frac 1 48 Mathematics Stack Exchange



Trigonometric Equation Sin X P 4 2 Cos X 0 2p Youtube



Sin 1 1 2 Cos 1 Sqrt 3 2



Ex 2 1 2 Find Principal Value Of Cos 1 Root 3 2 Class 12



Sin 2 Pi 6 Cos 2 Pi 3 Tan 2 Pi 4 1 2 Youtube



1



How Do You Find The Angle Between The Vectors U Cos Pi 3 I Sin Pi 3 J And V Cos 3pi 4 I Sin 3pi 4 J Socratic



Prove The Following Cos Pi 4 X Cos Pi 4 Y Sin Pi 4 X Sin Pi 4 Y Sin X Y Youtube



Write The Value Of Tan 1 2sin 2cos 1 3 2



Trigonometric Functions Values Of Standard Angles And Their Use



Modeling With Trigonometric Equations Precalculus Ii



The Value Of Cos 4 Pi 8 Cos 4 3pi 8 Cos 4 5pi 8 Cos 4 7pi 8 Is



Prove That Cos 1 X Cos 1 X 2 3 3x 2 2 P 3 Sarthaks Econnect Largest Online Education Community



What Is The Principal Value Of Cos 1 3 2 Sarthaks Econnect Largest Online Education Community



If 0 X Y Pi And Cos X Cos Y Cos X Y 3 2 Then Sin X Cos Y Is Equal To



Solve For X Cos 1 X Sin 1 X 2 P 6 Sarthaks Econnect Largest Online Education Community



Graphs Of The Sine And Cosine Function Precalculus Ii



Prove That Sin 1 1 2 Cos 1 Sqrt3 2 Cos 1 1 2 Mathematics And Statistics Shaalaa Com



How Do You Find The Value Of Cos Pi 4 Socratic



Find The Value Of Socratic



Ist Die Sinus Cosinus Tabelle Richtig Eingetragen Mathelounge


0 件のコメント:
コメントを投稿